Etude de la molécule du 2,4-D (niveau Seconde; 2ème partie)
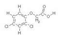
Le 2,4-D a été synthétisé dès 1911; c'est une phytohormone utilisée comme désherbant. Sa formule semi-développée est donnée ci-dessous:
1. A partir de cette formule semi-développée, écrire :
a. sa formule développée
b. sa représentation de Lewis après avoir rempli le tableau suivant (justifier le remplissage des trois dernières lignes en redonnant les règles de stabilité des éléments):
| atome | H | C | O | Cl |
| numéro atomique Z | 1 | 6 | 8 | 17 |
| structure électronique | ||||
| nombre d'électrons externes | ||||
| nombre de liaisons | ||||
| nombre d'électrons dans les doublets non liants | ||||
| nombre de doublets non liants |
c. sa formule brute
2.a. Comment qualifier l'environnement de l'atome d'oxygène lié au cycle ?
2.b. Quelle est la particularité géométrique du cycle d'atomes de carbone ?
Réponses
1. a. formule développée :
1.b.
| atome |
H |
C |
O |
Cl |
| numéro atomique Z |
1 |
6 |
8 |
17 |
| structure électronique |
(K)1 |
(K)2(L)4 |
(K)2(L)6 |
(K)2(L)8(M)7 |
| nombre d'électrons externes |
1 |
4 |
6 |
7 |
| nombre de liaisons |
1 |
4 |
2 |
1 |
| nombre d'électrons dans les doublets non liants |
1-1 = 0 |
4-4 = 0 |
6-2 = 4 |
7-1 = 6 |
| nombre de doublets non liants |
0 |
0 |
2 |
3 |
justifications du nombre de liaisons : règle du duet pour l'hydrogène et de l'octet pour les autres atomes.
Représentation de Lewis :
1.c. formule brute: C8H6Cl2O3
2.a. coudé
2.b. plan

