Dosage par différence du dinoterbe (niveau TS Spé physique-chimie)
Il est indiqué sur l'emballage de l'Herbogil (R) que ce désherbant contient 250 g.L-1 de dinoterbe. Afin de vérifier cette donnée, on procède au dosage par différence du dinoterbe (noté DO4) : DO4 réagit avec des ions étain (II) introduits en excès ; cet excès est ensuite dosé par des ions dichromate.
Données: couples oxydant/réducteur mis en jeu: DO4(aq)/DH62+(aq); Sn4+(aq)/Sn2+(aq) et Cr2O72-(aq)/Cr3+(aq)
Les ions dichromate Cr2O72-(aq) sont orange et les ions Cr3+(aq) sont verts.
L'équation de réaction d'oxydoréduction entre le dinoterbe et les ions étain (II) en milieux acide s'écrit:
Protocole :
On prépare la solution S0 en transvasant VH = 5,0 mL d'Herbogil (R) dans une fiole jaugée de 250 mL complétée jusqu'au trait de jauge avec de l'eau distillée. On prélève V0 = 10,0 mL de S0 auquel on ajoute 25,0 mL d'une solution S1 de chlorure d'étain (II) de concentration C1 = 1,2.10-1 mol.L-1, ainsi que de l'acide chlorhydrique concentré. On chauffe au bain-marie la solution S2 ainsi préparée.
Après refroidissement, on titre les ions étain(II) mis en excès à l'aide d'une solution d'ions dichromate de concentration ctitrante = 5,0.10-2 mol.L-1. Le volume équivalent VE est égal à 11,3 mL.
Exploitation :
1. Montrer que l'équation de réaction de titrage des ions Sn2+(aq) par les ions dichromate en milieu acide s'écrit :
2. Dresser le tableau d'évolution à l'équivalence pour ce titrage. On notera nexcès(Sn2+) la quantité de matière initiale en ions étain (II) et xE l'avancement à l'équivalence.
3. Ecrire la relation entre nexcès(Sn2+), ctitrante et VE en justifiant.
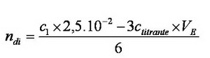
4. Montrer que la quantité de matière de dinoterbe, ndi, contenue dans V0 est calculée par la relation suivante :
5. Montrer que la concentration massique, tdi, du dinoterbe dans l'Herbogil est calculée par la relation :
6. Calculer la concentration massique tdi. Comparer ce résultat expérimental avec la valeur indiquée sur l'emballage d'Herbogil(R).
Source : Ecolochimie, chimie appliquée à l'environnement; G. André; éditions Cultures et techniques
Réponses
1. Il suffit d'écrire les demi-équations électroniques pour les deux couples mis en jeu puis de les combiner afin d'obtenir l'équation de réaction du titrage.
2.
3. A l'équivalence, toutes les espèces titrées ont réagi avec les espèces titrantes. La relation demandée s'écrit donc : nexcès(Sn2+) = 3*ctitrante*VE
4. En reprenant la première équation de réaction, on constate que ndi = nréagi(Sn2+)/6 avec nréagi(Sn2+) la quantité de matière de sions Sn2+(aq) qui ont réagi. Or, nréagi(Sn2+) = ni(Sn2+) - nexcès(Sn2+) avec ni(Sn2+) la quantité de matière des ions Sn2+(aq) introduits initialement c'est-à-dire c1*2,5.10-2; on obteint alors la relation demandée.
5. tdi = ndi,H*Mdi/VH avec ndi,H la quantité d ematière de dinoterbe contenue dans les 5,0 mL d'Herbogil prélevés. Ainsi, en reprenant le protocole de préparation des solutions S0 et S1, on écrit que ndi,H = 25ndi. On obtient alors la relation demandée.
6. Numériquement, tdi = 261 g.L-1. L'écart entre la valeur indiquée sur l'emballage et celle toruvée expérimentalement est donc égal à (261-250)/250 = 4 %

